Dodatnih 10 EUR POPUSTA na svaki predmet za maturu pri odabiru!

Logika - 2017./18. jesen - 13.

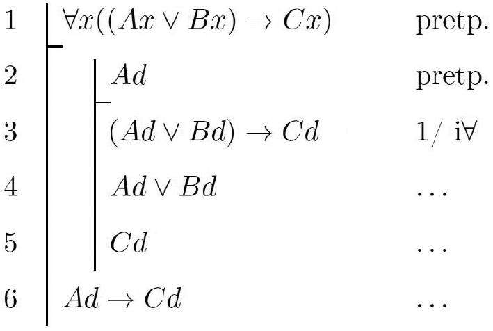
U sljedećemu dokazu provedenom naravnom (prirodnom) dedukcijom odredite što treba pisati u dijelovima koji su označeni trima točkicama (...).
Kao naziv pravila upotrijebite oznake 'u' i 'i' napisane ispred logičkoga znaka koji se uvodi ili isključuje (npr. ' i v ' za 'isključenje disjunkcije') te 'op.' za 'pravilo opetovanja' (ponavljanja, reiteracije), a za oznaku pretpostavke upotrijebite 'pretp.'.
13.1. U četvrtome retku treba pisati
.
13.2. U petome retku treba pisati
.
13.3. U šestome retku treba pisati
.
© 2026, Gradivo.hr