Logika - 2012./13. jesen - 19.

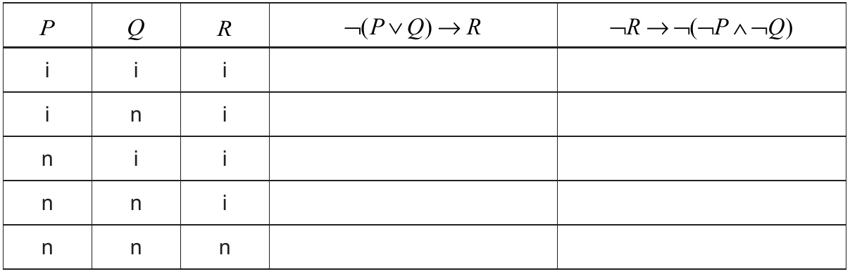
Popunite tablice istinitosti. U prostor predviđen za upisivanje upišite samo konačnu vrijednost istinitosti rečenica za svako traženo tumačenje jednostavnih sudova.
ŠTO ČEKAŠ?

Isprobaj potpuno besplatno!

Registracijom dobivaš besplatan*
pristup dijelu lekcija za svaki predmet.

*Besplatan pristup ne zahtijeva unos kartice.
© 2025, Gradivo.hr