Dodatnih 10 EUR POPUSTA na svaki predmet za maturu pri odabiru!

Logika - 2010./11. jesen - 19.

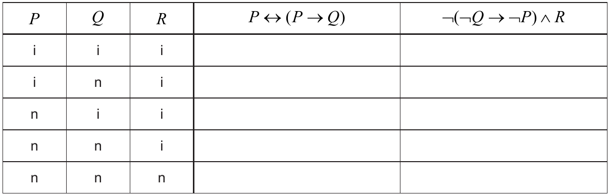
Popunite tablice istinitosti. U prostor predviđen za upisivanje upišite samo konačnu vrijednost istinitosti rečenica za svaku od interpretacija jednostavnih sudova.
Odgovor je slika...
© 2026, Gradivo.hr