Logika - 2023./24. ljeto - 10.

Pozorno pročitajte tekst.

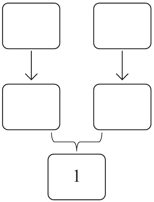
(1) Filozofija je po svojoj naravi iskonskija od svih drugih znanstvenih disciplina jer (2) se filozofija bavi temeljnim pitanjima i pojmovima poput biti, postojanja, stvarnosti i znanja, dok druge znanstvene discipline proučavaju specifične aspekte svijeta i njegovo djelovanje, stoga se (3) druge znanstvene discipline temelje na pitanjima i konceptima koje postavlja i istražuje filozofija, odnosno ona su proizišla iz filozofije. (4) Ono što postavlja po naravi jest iskonskije od onoga što je temeljeno na tomu iskonski postavljenomu, stoga (1) je filozofija, kao tvorac drugih disciplina, po naravi iskonskija od ostalih disciplina. (1) Dakle, filozofija je iskonskija od drugih znanstvenih disciplina jer (5) disciplina koja se bavi onim što je po naravi iskonskije, sama je najiskonskija.

U tekstu se nalazi niz zaključaka. Brojevima su označeni sudovi koji su u tekstu u ulogama premisa i/ili konkluzije. Rekonstruirajte navedeni tekst tako da preostale brojeve upišete na prazna mjesta u dijagramu na način da točno opisuju slijed zaključaka u tekstu. Vitičasta zagrada označava da sud koji se nalazi ispod nje slijedi iz sudova koje zagrada obuhvaća i koji se nalaze iznad nje.
Odgovor:
ŠTO ČEKAŠ?

Isprobaj potpuno besplatno!

Registracijom dobivaš besplatan*
pristup dijelu lekcija za svaki predmet.

*Besplatan pristup ne zahtijeva unos kartice.
© 2025, Gradivo.hr