Logika - 2022./23. ljeto - 12.

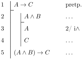
U sljedećemu dokazu provedenom naravnom (prirodnom) dedukcijom odredite sudove koji nedostaju u redcima u kojima su upisane tri točkice (...), a koji dokaz u cjelini čine točnim.
Kao naziv pravila upotrijebite oznake 'u' i 'i' napisane ispred logičkoga znaka koji se uvodi ili isključuje (npr. 'iv ' za 'isključenje disjunkcije') te 'op.' za 'pravilo opetovanja' (ponavljanja, reiteracije), a za oznaku pretpostavke upotrijebite 'pretp.'.
12.1. U drugome retku treba pisati .
12.2. U četvrtome retku treba pisati .
12.3. U petome retku treba pisati .
ŠTO ČEKAŠ?

Isprobaj potpuno besplatno!

Registracijom dobivaš besplatan*
pristup dijelu lekcija za svaki predmet.

*Besplatan pristup ne zahtijeva unos kartice.
© 2025, Gradivo.hr