Kemija - 2021. ljeto, 32.

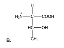
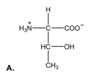
32. Koja od prikazanih strukturnih formula označava jedinku treonina (2-amino-3-hidroksibutanska kiselina) u obliku koji prevladava u vodenoj otopini čija je pH-vrijednost znatno veća od pH-vrijednosti izoelektrične točke te aminokiseline?
ŠTO ČEKAŠ?

Isprobaj potpuno besplatno!

Registracijom dobivaš besplatan*
pristup dijelu lekcija za svaki predmet.

*Besplatan pristup ne zahtijeva unos kartice.
© 2025, Gradivo.hr