Instrukcije
Pripreme za maturu
Online skripte
Besplatni materijali
Isprobaj besplatno
Kemija - 2021. ljeto, 11.
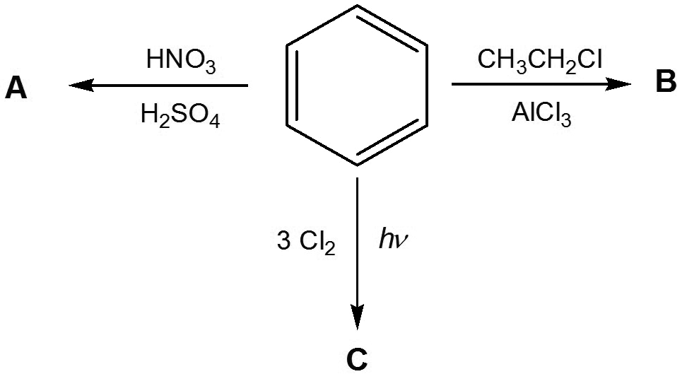
11. Pozorno promotrite reakcijsku shemu.
Na temelju podataka u reakcijskoj shemi nacrtajte u tablicu strukturne formule molekula produkata
A
i
B
.
11.1.
Strukturna formula spoja
A
:
Odgovor je slika...
1 bod
Provjeri odgovore
11.2.
Strukturna formula spoja
B
:
Odgovor je slika...
1 bod
Provjeri odgovore
11.3. Kojoj vrsti reakcija organskih spojeva pripadaju reakcije nastajanja produkata
A
i
B
?
1 bod
Provjeri odgovore
11.4.
Napišite jednadžbu kemijske reakcije koja prikazuje dobivanje produkta
C.
Prikažite organske molekule strukturnim formulama.
Odgovor je slika...
1 bod
Provjeri odgovore
Online pripreme za maturu i instrukcije za srednju školu. Dostupno 24/7.
Naša ponuda
Online instrukcije
Pripreme za maturu
Preuzmi sve mature
Besplatni materijali
Blog
Merch - eDrevnik i Tier listić
Online skripte
Kemija
Fizika
Matematika
Pravne stranice
Uvjeti korištenja
Politika privatnosti
© 2025, Gradivo.hr
Postavke kolačića
Isprobaj besplatno
ŠTO ČEKAŠ?
Isprobaj potpuno
besplatno!
Registracijom dobivaš besplatan*
pristup dijelu lekcija za svaki predmet.
*Besplatan pristup ne zahtijeva unos kartice.
ZA MATURANTE
Online pripreme
OD 1. DO 4. RAZREDA
Online instrukcije
Samo premium korisnici imaju pristup cijelom video sadržaju
Pretplati se