Dodatnih 10 EUR POPUSTA na svaki predmet za maturu pri odabiru!

Kemija - 2020. ljeto, 12.

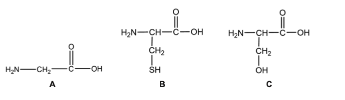
Pozorno promotrite strukturne formule molekula spojeva A, B i C.
Kojoj skupini organskih spojeva pripadaju spojevi A, B i C ?
Ovo pitanje nosi 1 bod
Imenujte sve funkcijske skupine prisutne u molekuli spoja C.

,
i
Ovo pitanje nosi 1 bod
Povezivanjem molekula spojeva A, B i C nastaju složene organske molekule. Kako se naziva reakcija pri kojoj nastaje ljubičasto obojenje, a karakteristična je za dokazivanje složenih organskih molekula nastalih povezivanjem molekula spojeva A, B i C?  
Ovo pitanje nosi 1 bod
Uzorak spoja B prokuhan je u natrijevoj lužini. Ta je smjesa potom zakiseljena klorovodičnom kiselinom nakon čega se osjetio neugodan miris po pokvarenim jajima.
Dodatkom nekoliko kapi olovova(II) acetata pojavio se crnosmeđi talog.
Napišite u ionskome obliku jednadžbu kemijske reakcije koja opisuje nastajanje taloga i označite agregacijska stanja.  
Ovo pitanje nosi 1 bod