Fizika - 2019. ljeto, 36.

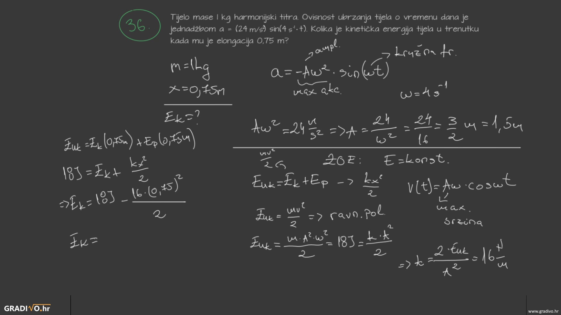
Tijelo mase 1 kg harmonijski titra. Ovisnost ubrzanja tijela o vremenu dana je jednadžbom $a=\left(24 \mathrm{~ms}^{-2}\right) \sin \left(4 \mathrm{~s}^{-1} t\right)$. Kolika je kinetička energija tijela u trenutku kada mu je elongacija $0,75 \mathrm{~m}$ ?
ŠTO ČEKAŠ?

Isprobaj potpuno besplatno!

Registracijom dobivaš besplatan*
pristup dijelu lekcija za svaki predmet.

*Besplatan pristup ne zahtijeva unos kartice.
Online pripreme za maturu i instrukcije za srednju školu. Dostupno 24/7.
© 2025, Gradivo.hr