Fizika - 2019. ljeto, 16.

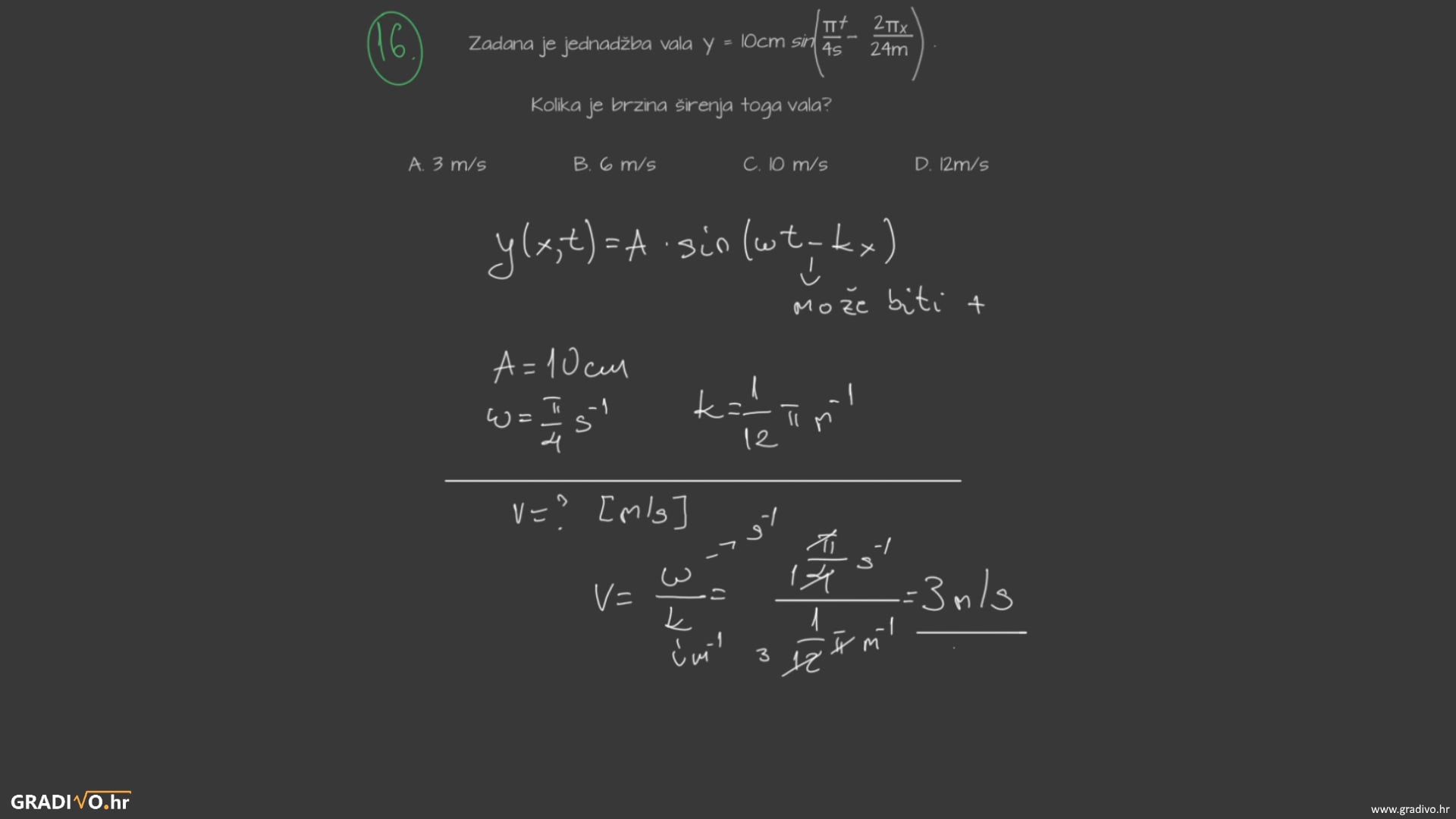
Zadana je jednadžba vala $y=10 \mathrm{~cm} \sin \left(\frac{\pi t}{4 \mathrm{~s}}-\frac{2 \pi x}{24 \mathrm{~m}}\right)$. Kolika je brzina širenja toga vala?
ŠTO ČEKAŠ?

Isprobaj potpuno besplatno!

Registracijom dobivaš besplatan*
pristup dijelu lekcija za svaki predmet.

*Besplatan pristup ne zahtijeva unos kartice.
Online pripreme za maturu i instrukcije za srednju školu. Dostupno 24/7.
© 2025, Gradivo.hr