Fizika - 2017. ljeto, 12.

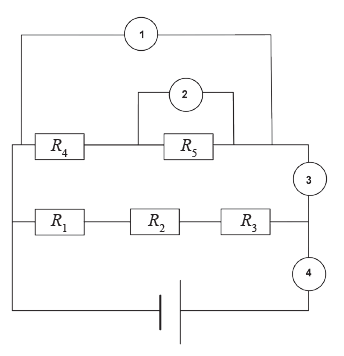
Na slici je prikazan strujni krug. Na koji od položaja označenih brojevima 1, 2, 3 ili 4 treba spojiti ampermetar da bi se izmjerila električna struja koja prolazi otpornikom $R_{5}$ ?
ŠTO ČEKAŠ?

Isprobaj potpuno besplatno!

Registracijom dobivaš besplatan*
pristup dijelu lekcija za svaki predmet.

*Besplatan pristup ne zahtijeva unos kartice.
Online pripreme za maturu i instrukcije za srednju školu. Dostupno 24/7.
© 2025, Gradivo.hr