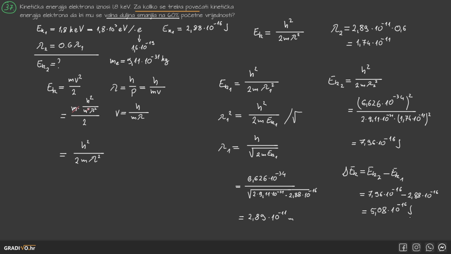
Fizika - 2017. jesen, 37.

Kinetička energija elektrona iznosi $1,8 \mathrm{keV}$. Za koliko se treba povećati kinetička energija elektrona da bi mu se valna duljina smanjila na $60 \%$ početne vrijednosti?
ŠTO ČEKAŠ?

Isprobaj potpuno besplatno!

Registracijom dobivaš besplatan*
pristup dijelu lekcija za svaki predmet.

*Besplatan pristup ne zahtijeva unos kartice.
© 2025, Gradivo.hr