Fizika - 2012. jesen, 28.

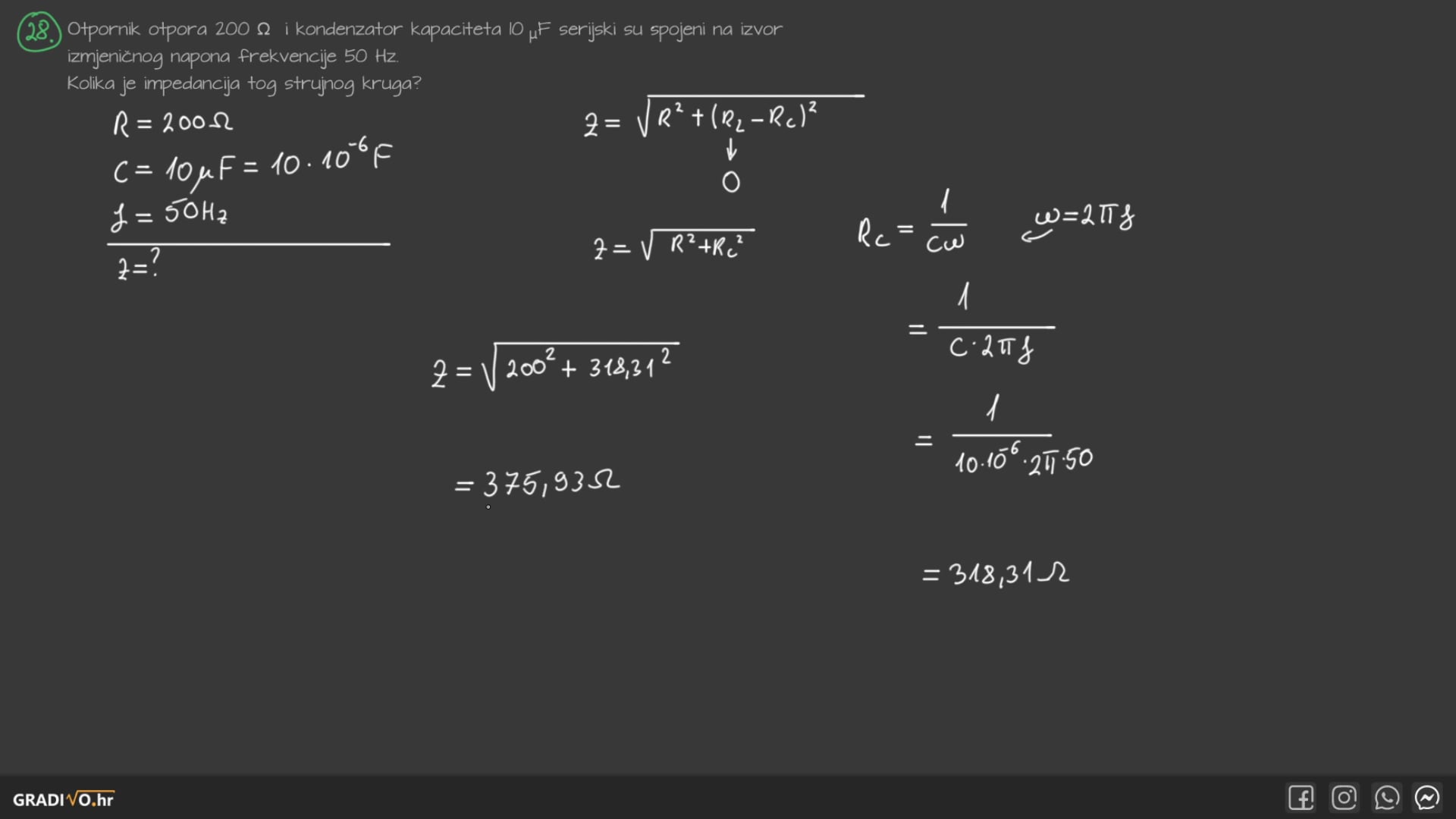
28. Otpornik otpora $200 \Omega$ i kondenzator kapaciteta $10 \mu \mathrm{~F}$ serijski su spojeni na izvor izmjeničnog napona frekvencije 50 Hz.
Kolika je impedancija tog strujnog kruga?
ŠTO ČEKAŠ?

Isprobaj potpuno besplatno!

Registracijom dobivaš besplatan*
pristup dijelu lekcija za svaki predmet.

*Besplatan pristup ne zahtijeva unos kartice.
© 2025, Gradivo.hr