Fizika - 2011. jesen, 35.

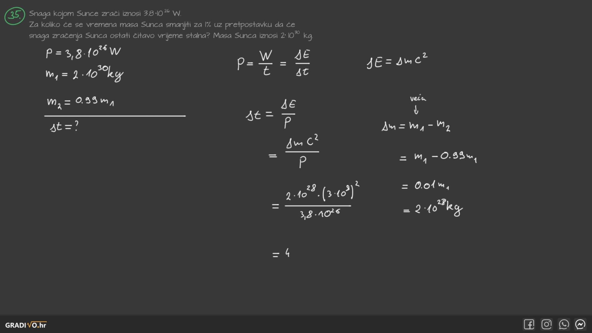
35. Snaga kojom Sunce zrači iznosi $3.8 \cdot 10^{26} \mathrm{~W}$. Za koliko će se vremena masa Sunca smanjiti za 1% uz pretpostavku da će snaga zračenja Sunca ostati čitavo vrijeme stalna? Masa Sunca iznosi $2 \cdot 10^{30} \mathrm{~kg}$.
ŠTO ČEKAŠ?

Isprobaj potpuno besplatno!

Registracijom dobivaš besplatan*
pristup dijelu lekcija za svaki predmet.

*Besplatan pristup ne zahtijeva unos kartice.
© 2025, Gradivo.hr