Biologija - 2022./23. ljeto - 54.

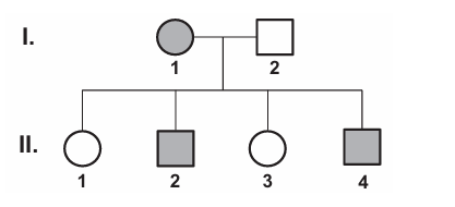
Pozorno promotrite sliku rodoslovnoga stabla koje prikazuje nasljeđivanje hemofilije.
54.1. Koji je genotip osobe označene brojem 2 u prvoj generaciji?
54.2. Koji je fenotip potomaka u prikazanome rodoslovnom stablu?
Fenotip kćeri:
Fenotip sinova:
54.3. Koliko iznosi vjerojatnost da gameta muškoga potomka sadrži recesivni alel?
Vjerojatnost izrazite postotkom.
54.4. Prikažite križanje osobe označene brojem 1 druge generacije u rodoslovnome stablu sa zdravim muškarcem.
U prikazanu tablicu (Punnetov kvadrat) upišite genotipove gameta roditelja i moguće genotipove potomaka nastalih križanjem.
ŠTO ČEKAŠ?

Isprobaj potpuno besplatno!

Registracijom dobivaš besplatan*
pristup dijelu lekcija za svaki predmet.

*Besplatan pristup ne zahtijeva unos kartice.
© 2025, Gradivo.hr